Base_model

microsoft/Phi-3-medium-128k-instruct
(https://huggingface.co/microsoft/Phi-3-medium-128k-instruct)

Datasets

Replete-AI/code_bagel
(https://huggingface.co/datasets/Replete-AI/code_bagel)

SFT Training Code

https://github.com/hiyouga/LLaMA-Factory

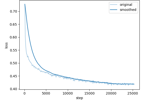
Train Loss

image/png

Train State

Trainable params: 27852800 || all params: 13988090880 || trainable%: 0.1991
Total Training Duration:69h18m17s

{
    "epoch": 0.9999679800589659,
    "total_flos": 1.446273483573748e+20,
    "train_loss": 0.44412665014957775,
    "train_runtime": 249497.725,
    "train_samples_per_second": 13.018,
    "train_steps_per_second": 0.102
}

Sample inference code

import torch
from transformers import AutoModelForCausalLM, AutoTokenizer, pipeline

torch.random.manual_seed(0)
model_id = "/home/models/phi3/Phi-3-medium-128k-instruct/"
model = AutoModelForCausalLM.from_pretrained(
    model_id,
    device_map="cuda", 
    torch_dtype="auto", 
    trust_remote_code=True, 
)
tokenizer = AutoTokenizer.from_pretrained(model_id)

messages = [
    {"role": "user", "content": "Can you provide ways to eat combinations of bananas and dragonfruits?"},
    {"role": "assistant", "content": "Sure! Here are some ways to eat bananas and dragonfruits together: 1. Banana and dragonfruit smoothie: Blend bananas and dragonfruits together with some milk and honey. 2. Banana and dragonfruit salad: Mix sliced bananas and dragonfruits together with some lemon juice and honey."},
    {"role": "user", "content": "Write a python code to train llm mode by lora and sft ?"},
]

pipe = pipeline(
    "text-generation",
    model=model,
    tokenizer=tokenizer,
)

generation_args = {
    "max_new_tokens": 4096,
    "return_full_text": False,
    "temperature": 0.0,
    "do_sample": False,
}

output = pipe(messages, **generation_args)
print(output[0]['generated_text'])

Outputs by microsoft/Phi-3-medium-128k-instruct

 To train a language model using Lora and SFT (Supervised Fine-tuning), you can follow these steps:

1. Install the required libraries:

```python
!pip install transformers
  1. Import the necessary libraries:
import torch
from transformers import AutoTokenizer, AutoModelForCausalLM, Trainer, TrainingArguments
  1. Load the pre-trained Lora model and tokenizer:
tokenizer = AutoTokenizer.from_pretrained("microsoft/llama-65b-lora")
model = AutoModelForCausalLM.from_pretrained("microsoft/llama-65b-lora")
  1. Load the SFT dataset:
# Replace with the path to your SFT dataset
train_dataset =...
  1. Define the training arguments:
training_args = TrainingArguments(
    output_dir="./results",
    num_train_epochs=3,
    per_device_train_batch_size=4,
    per_device_eval_batch_size=4,
    warmup_steps=500,
    weight_decay=0.01,
    logging_dir='./logs',
    logging_steps=10,
)
  1. Create a custom Trainer for Lora and SFT:
class LoraSFTTrainer(Trainer):
    def compute_loss(self, model, inputs):
        labels = inputs.pop("labels")
        outputs = model(**inputs, use_cache=False)
        lm_logits = outputs.logits
        loss_fct = torch.nn.CrossEntropyLoss()
        masked_lm_loss = loss_fct(lm_logits.view(-1, self.model.config.vocab_size), labels.view(-1))
        return masked_lm_loss
  1. Initialize the trainer and train the model:
trainer = LoraSFTTrainer(
    model=model,
    args=training_args,
    train_dataset=train_dataset,
    eval_dataset=None,
)

trainer.train()

Outputs by REILX/Phi-3-medium-128k-code-instruct

import torch
from transformers import RobertaForCausalLM, RobertaTokenizer

# Load the model and tokenizer
model = RobertaForCausalLM.from_pretrained('roberta-base')
tokenizer = RobertaTokenizer.from_pretrained('roberta-base')

# Load the data
data = [
    "This is a sample sentence.",
    "Another sample sentence."
]

# Tokenize the data
input_ids = [tokenizer.encode(sentence, add_special_tokens=True) for sentence in data]

# Train the model
model.train()
for input_id in input_ids:
    outputs = model(input_id, labels=input_id)
    loss = outputs.loss
    loss.backward()
    optimizer.step()

# Save the model
model.save_pretrained('my_model')

Training hyperparameters

The following hyperparameters were used during training:

  • learning_rate: 5e-05
  • train_batch_size: 1
  • eval_batch_size: 8
  • seed: 42
  • distributed_type: multi-GPU
  • num_devices: 8
  • gradient_accumulation_steps: 16
  • total_train_batch_size: 128
  • total_eval_batch_size: 64
  • optimizer: Adam with betas=(0.9,0.999) and epsilon=1e-08
  • lr_scheduler_type: cosine
  • lr_scheduler_warmup_steps: 1200
  • num_epochs: 1.0
Downloads last month

-

Downloads are not tracked for this model. How to track
Inference Providers NEW
This model isn't deployed by any Inference Provider. 🙋 Ask for provider support

Dataset used to train REILX/Phi-3-medium-128k-code-instruct

Collection including REILX/Phi-3-medium-128k-code-instruct